网站首页 2026美加墨世界杯出线球队 2026美加墨世界杯 高清世界杯直播在哪看的 空气后处理设备 空压机应用案列 国足能否进2026世界杯 2026美加墨世界杯开赛时间 联系我们

2026年的世界杯·世界杯男主持人空压机 0512-62910301

公司总部:苏州市高新区联港路 上海营销:上海市松江区宝胜路 工厂地址:无锡市新吴区长江路 电话咨询,会安排区域人员联系

管道压力、流速、流量计算,标况和工况流量的转换

作者: 高清世界杯直播在哪看的 时间:2022.07.21 浏览量:2474

文章转载自“压缩机网”微信公众号,如有侵权请联系删除!

在实际工业管道工程设计中,我们经常会根据客户所给的相关技术参数来设计符合实际生产要求的合理的工程方案,所以,如何确定管道内流速V、压力P、流量Q三者之间的关系变得尤为重要。

现简单从理论上介绍一下三者之间的关系,举个例子:

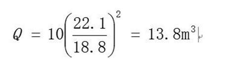
例: 不锈钢无缝管φ25.4x1.65 ,工作介质为氮气N2,工作压力P=0.8MPa,工作温度t=20℃ 求工况流量Q?

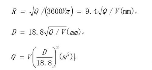
解: 取不锈钢管内某一截面为参考面,那么介质在1h内留经管道截面的流量有:

Q=VπR2 x 3600式中,Q: 工况流量— m³,V: 介质流速— m/s,R: 管道半径 — m

所以我们得到以下流量计算公式 :



在实际工程应用中,管道内流速(V)受很多因素影响(使用压力、管道通径、使用流量等等),所以合理的流速应根据经济权衡决定。

一般液体流速为0.5~3m/s,气体流速为10~30m/s。

现在0.8Mpa情况下我们取:流速V=10m/s ,管道内径22.1mm,则在工况下每小时流量:


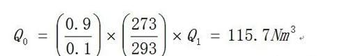
那么,怎么换算到标况流量呢?

在实际生产中气体的使用压力往往不尽相同,所以一般把工况流量换算成标准状况下的流量,以方便计量使用。

气体在实际使用过程中受各种因素影响,其相关参数往往在不断变化,所以在工程实际计算中往往把气体认为理想气体,从而大概计算出其实际流量。

理想气体状态方程:PV=nRT式中,

P—气体绝对压力 KPa;V—气体体积 m3;n—气体的物质的量 kmol;R—气体摩尔常数 8.314kj/(kmol .K);T—气体的热力学温度 K;t —工作温度 ℃

所以在工况和标况下有:

P0V0=nRT0(标况);P1V1=nRT1(工况)

联合两式得:V0=(P1/P0)x(T0/T1)= V1(P1/P0)x【273/(273+t)】

注:式中P1为绝对压力,P0为标准大气压力

所以例题中换算成标况流量为:


上一篇:葆德2022年中总结会议有干货,工业数字化服务这么干!
下一篇:空气压缩机加油步骤是什么?
网站首页 2026美加墨世界杯比赛分布图 高清世界杯直播在哪看的 空气后处理设备 2026美加墨世界杯开赛时间 2026百年世界杯 2026美加墨世界杯比赛时间
Baidu
map